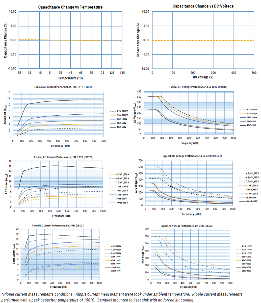
KC-LINK電容器具備極低的有效串聯電阻 (ESR) 和非常低的熱阻,能在高漣波電流下運作,電容不會隨DC電壓變動,且極少隨環境溫度而改變。電容器作業溫度達到150°C,能安裝在高功率密度應用中靠近快速切換半導體附近僅需少量散熱的位置。
KC-LINK C0G介電質技術展現出優於其他介電質技術的機械耐用度,電容器不需使用引線框架也能安裝。因此其極低的有效串聯電感 (ESL),可提高作業頻率範圍,進而有助於縮小體積。為提升可靠性,KC-LINK現在採用柔性終端技術,提供比標準終端系統更好的柔性效能,解决了MLCC撓性裂紋的主要失效模式。
特點
- 商業及汽車級 (AEC-Q200)
- 高漣波電流能力
- 超低等效串連電阻 (ESR)
- 超低等效串連電感 (ESL)
- 4.7nF至220nF電容範圍
- 1812、2220和3640 EIA外殼尺寸
- 500VDC至2000VDC電壓範圍
- -55°C至+150°C作業溫度範圍
- 柔性終端技術
- 作業頻率>10 MHz
- 電容不隨電壓偏移
- 無壓電雜訊
- 高散熱穩定性
- 符合RoHS標準,無鉛
應用
- 寬能隙 (WBG)、碳化矽 (SiC),和氮化鎵 (GaN) 系統
- EV/HEV(驅動器系統、充電站)
- 無線充電
- 光電系統
- 電源轉換器
- 變頻器
- LLC諧振轉換器
- DC-Link
- 緩衝器
額定效能
影片
Block Diagram
資源
發佈日期: 2018-01-15
| 更新日期: 2025-11-06

