TDK HPL Wound Ferrite Inductors
TDK HPL Wound Ferrite Inductors provide high reliability without joints and magnetic flux cancellation, realizing low EMI. These inductors use ferrites made of low-loss material and offer low DC resistance through frame-forming. The HPL inductors are available in variants that provide up to 330nH inductance. The operating temperature range is from -55°C to +155°C, including self-temperature rise. TDK HPL Wound Ferrite Inductors are AEC-Q200 qualified, making them ideally suited for adaptive driver assistance systems (ADAS).
Features
- Achieves high reliability inductors without joints
- Adoption of ferrites made of low-loss material and low DC resistance (RDC) by frame forming
- Magnetic flux cancellation realizes low EMI
- Ideal for ADAS applications
- -55°C to +155°C operating temperature range (including self-temperature rise)
- Compliant with AEC-Q200
Videos
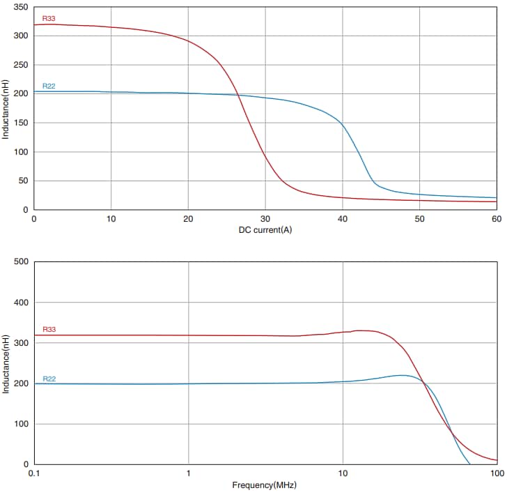
Performance Graphs
Dimensions (mm)
Additional Resources
發佈日期: 2019-05-27
| 更新日期: 2026-02-09
